Building an Analogy
Quite simply, feedback is the sharing of information about the student’s performance.
Positive feedback serves to sustain behavior that is appropriate and effective. Negative or corrective feedback serves to change behavior that is inappropriate or ineffective. Thus, the student should receive a mixture of positive and corrective feedback.
The feedback should be specific enough that the student understands which behaviors are appropriate and which ones need to be changed. General comments such as “you’re doing a really super job!” may be pleasant to give, but do little in the way of teaching.
Feedback is most meaningful when it is based on solid data obtained while observing or interacting with the student.
As someone who loves live music shows, I’m well used to the sharp whistling feedback that occasionally screeches out of speakers banked around a venue – the transmission of that information prompts me to put hands over ears, or on the rare nights I bother with ear plugs to push wish their protection was a bit more thorough. At a live show, I want feedback to be deliberate and provocative.
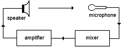
As in the the diagram below, accidental or inattentive feedback, happens when a microphone feeds a signal to be mixed ahead of an amplifier, which channels the sound into a speaker, which broadcasts the sound, which is again picked up by the originating mic to feed back the sound as a loop.
As teachers we frequently follow a similar loop: we speak-teach (microphone) with learning outcomes in mind (mixer) with major assignments standing as markers of learning (amplifiers) as students complete and submit work to us (speaker), which we review, mark and grade in ways that the microphone picks up to send back to students.
To eliminate or interrupt the pernicious acoustic feedback loop:
- reposition mic and/or speaker to keep output from feeding mic directly,
- move speakers closer to audience relative to mic and/or use directional mic,
- speak close to the microphone, or
- use these tools to create deliberate audio feedback.
As learners and teachers we bring similar connotations of to how we hear the word feedback in conjunction with classroom practice or as a component in a learning process. Most denotative definitions of feedback don’t help much – there feedback is a “transmission of evaluative or corrective information about an action, event, or process.” With a definition that focuses on grading, on looking backward to determine what and whether students learned something correctly, no wonder feedback rumbles in classrooms as a jarring amplified signal for both learners and teachers.
Building an Empirical Base
“Gives Prompt Feedback” is positioned squarely in the middle of the Seven Principles for Good Practice in Undergraduate Education reported by Arthur W. Chickering and Zelda F. Gamson, based on their research into good teaching and learning in higher education:
- encourages contact between students and faculty,
- develops reciprocity and cooperation among students,
- encourages active learning,
- gives prompt feedback,
- emphasizes time on task,
- communicates high expectations, and
- respects diverse talents and ways of learning.
Centered as it is, gives prompt feedbackcertainly involves the other six principles, for it enables contact between students and faculty, can be built into peer instruction practices, requires active learning in that students are expected to review and apply the feedback as they return to time on task; additionally, giving feedback provides regular opportunities to convey high expectations about learning while simultaneously providing cues, resources, alternative ways of problem-solving that will help a wider range of students master a particular learning task. Giving prompt feedback, then, is at the center of a learning and teaching interaction.
To augment or deliberately use the lovely active learning feedback loop involves:
- deliberately speaking with students about learning in terms of developmental outcomes as well as learning outcomes,
- making feedback ordinary by including day-to-day about key gains and gaps you’ve observed during inclass learning activities, performance of specific tasks, or informal quizzes/assessments
- cueing the learning process by commenting not just on gaps and gains but also enjoining students in a conversation about what resources, strategies, next steps might work better to augment their learning, or
- augmenting the feedback cycle by having students (a) comment on when, why and where they have or have not acted in response to feedback from you on earlier iterations of a major project or previous test, and (b) compose two feedback seeking questions to submit along with drafts and polished versions of major projects or final exams.
As researcher John Hattie notes, the single most effective moderator of achievement and learning that a teacher can offer to students is feedback – as in “providing information how and why the [learner] understands and misunderstands, and what directions the student must take to improve.” Also, Hattie’s most recent (2000) studies of learning from pre-school through higher education adds an additional factor: “that feedback was most powerful when it is from the student to the teacher,” showing through informal classroom assessments “what they know, what they understand, where they make errors, when they have misconceptions, when they are not engaged -then teaching and learning can be synchronized and powerful. Feedback to teachers helps make learning visible.” When learning is visible in the process of everyday learning, feedback becomes possible.
Building Practices
These “dollops of feedback” then can become practices of Deliberate Fidelity Feedback, which is:
Frequent,
Immediate,
Discriminating,
Enhancing,
Learning-oriented,
In-class activity,
Talents aware, and cues students to
“Take Your turn now.”
And can be presented forthrightly, constructively with attention to RIGHT Feedback: Respectful, Issue Specific, Goal Oriented, Helpful and Timely. Now, some ideas:
Ask questions to
* provoke reflection on choices they have made so far – as individuals, in teams or as a lab group in drafting an assignment, evaluating sources, moving from information gathering to idea formation.
* prompt contemplation of how their work might be impacted by considering an other possibility – another solution, resource, perspective, experience, question or thesis; by suggesting ways ideas might be conveyed/reinforced visually – through diagrams, charts, photographs.
* raise a question that needs answering if readers are to gain a full understanding of the problem being solved, the topic being discussed, the data being analyzed; that you genuinely need to – but are not able to – have answered in the problem being solved, the essay being written, project being presented, lab report being drafted.
Name specifics to
* clarify what works: applies a strategy, process, particular tool, organizational strategy, effective evidence/illustration/example effectively; uses discipline-appropriate language choices; meets performance criteria set out by learning/development outcome.
* identify what is clear: in ideas conveyed through effective wording; appropriate selection of formula/framework for analysis; in written passages that integrate or synthesize material from multiple resources to produce an analysis; in spoken description of thought process/problem solving strategy employed.
* point out what is muddled: in organization of steps followed or components of analysis or transitions from one main idea to another; by omissions of key steps or data or formulas or resources or perspectives; because of faulty or partial or incomplete or biased or misconstrued use of information/data.
Build in opportunities to revise
* that are low stakes – high rewards for students and teachers; for example, with a homework assignment that requires problem solving of some sort (from computer science coding, analysis of reading based on specific questions, or response to a case study) have students write for 5 minutes at the end of class about ways they would extend, amend, correct, continue work they’d completed for the homework.
* at the close of a discussion, recap the points made by linking these to places in the readings where students can dig in to learn more and by noting information, perspectives and alternative analyses missed in the discussion; this notes what worked and what could work better, and sets expectations for next discussions; students could use this information to draft a micro-theme for the next class session.
* at the end of a problem solving session ask students to write on a 3×5 card both the muddiest point and the clearest point – the thing they cannot explain and the thing they can most readily explain; then have them point to what happened along the way – in a particular reading, lab exercise, problem set or lecture – that shapes for them this difficulty or clarity. The next day, draw on what you have learned in skimming the cards to clarify concepts and set out study strategies, which students can be required to apply as they complete a short individual, team, or concept test on that or a subsequent day.
* at a mid-point during an inclass session, have a small group of students explain a concept to one another, with each students taking notes as the others explain; then students compare notes to discover what each has missed, found memorable, flagged as misinformation; from those curated notes, have students individually draft an explanation of the concept for an audience you specify (parents, future employer, you as reader of upcoming test); collect these 3×5 cards to review; cull 3-5 points to shape your response/feedback to the entire group focused on major revisions that would be needed to revise the explanations into reasonable documents for the particular concept and audience.
* before a lecture, discussion, lab, field work or guided practicum make a list of points you expect/intend to make; at the start of that class session, tell students that you will be asking them to recall / retrieve a specific number of key points in an specific amount of time; at the end of the class session, students will write down points, you will make amendments to your list as needed, and you will either collect student lists to compare to your answers or you will project your list and ask student to note convergences and divergences, with you and students each flagging appropriate and inappropriate responses on the student lists; from this, students work on their own, with peers and/or with resources you provide to augment, update, revise their notes, annotations, summaries.
* at the start of a class session or unit, conduct a quick survey of student knowledge and misconceptions regarding the topic to be pursued – this might take shape as a poll, a background knowledge probe, or a concept test sequence. Project and address – that day or the next day – the common misconceptions and current correct understandings. In this way, students see not only where they need to learn more, they gain a sense of what they already know and that they are not alone in needing to unlearn misconceptions. You also set up a reference point for taking a minute each day to offer feedback on what you’ve heard and see related to learning via in class and in homework activities.
* at an early point in working on a large, writing-based project – a researched essay, a field or lab experiment, a problem-solving team project – do respond to preliminary drafts of individual student writing; early feedback on strengthening ideas, organization and selection/integration of resources has a stronger impact on student thinking/writing than does corrective feedback on first full drafts, and can be conveyed as local comments to individual students and/or as global comments to the full class.
Feedback, in these specifics and overall sense sketched out here, is less what’s said by teachers to students in the marking of homework and grading of exams, and more what’s said during or because of the student-teacher and student-student interactions during class time.
And more often than not, high fidelity feedback is as simple as saying aloud how you observed learning happen in class that day and what it is you would recommend that students do more of, do differently, do to learn more about, do to explore another perpective, do to take the learning and/or skill up a notch for the next time you meet together.
Resources
Seven Principles for Good Practice in Undergraduate Education, Chickering & Gamson
Providing Student Feedback, College of Osteopathic Medicine, Ohio University
Prompt Feedback – Online Teaching, Virginia Commonwealth University
Strategies to Provide Prompt Feedback – Podcast, University of North Carolina-Charlotte
Classroom Assessment Techniques – Adaptable across Disciplines, St. Louis University, Samford University, and National Institute for Science Education.
Note: The original “FIDeLity” feedback concept is part of Dee Fink’s Significant Learning framework.




